您現在的位置:中國農業儀器網 > 技術文章 > GPS測畝儀的工作原理
GPS測畝儀的工作原理
來源: http://www.ranran96.com/ 類別:技術文章 更新時間:2013-10-09 閱讀次
GPS測畝儀的工作原理
GPS測畝儀由高精度的GPS定位系統、精確面積計算方法,實現了任何不規則面積的實時測試、動態圖形顯示和數據智能化處理和儲存。適用于農田、綠地、森林、水域、山坡等面積的測量,一次測量可同時獲得測量面積、周長、距離、坡度等數據?呻S時調用測量的面積圖形和所有測量數據,便于檔案保存。是農業、林業、水利、土管等部門及農機作業收費的便捷測量工具。
GPS測畝儀采用的GPS全球衛星定位系統能夠提供實時的經度、緯度、高程等導航和定位信息,利用GPS的定位功能,得出各個點的坐標,再通過數學方法計算出距離、面積等數據。
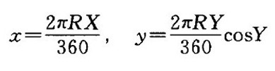
由于地球是一個橢球,為了精確計算距離或面積,一般采用投影的方式轉換成平面坐標。在我國,對于大比例尺的地圖通常采用高斯一克呂格投影進行轉換,然而投影法計算十分復雜,難以在單片機中實現。為了簡化計算,我們將地球視為正球體。取地球半徑為6371116m,則可轉換成平面坐標:

式中:R為地球半徑,x為經度/m,y 為緯度/m。則在地球表面Y經度處,經度差、緯度差各為一度的方格面積為:

- 【中國農業儀器網】聲明部分文章轉載自其它媒體,轉載目的在于傳遞更多信息,并不代表本網贊同其觀點和對其真實性負責,且不承擔此類作品侵權行為的直接責任及連帶責任。如涉及作品內容、版權和其它問題,請在30日內與本網聯系。
- 上一篇:計畝器技術優勢
- 下一篇:自動氣象數據監測記錄儀特點功能
推薦儀器
最近更新儀器
相關技術文章









